Ants, Acacias, and Breaking the Mould of Niche Conservatism
Discover the mechanisms behind ant-acacia mutualisms in swollen-thorn acacias. Written by guest blogger Josie Cooper.
Published on 6th October 2025
Nature is full of fascinating relationships, from bees and flowers to predators and prey, but these relationships don’t always go the way you might think. Swollen-thorn acacias have a secret weapon against plant-eating herbivores: ants. These tiny insects protect the plant from harm, and in return, the acacias provide them with nectar and a home. It’s a win-win mutualistic partnership and a unique example of how intra-specific relationships (any association between two different species) can exist in nature.
Home Comforts: Evolution Edition
The world a species lives in is called its ecological niche. But niches aren’t just about the physical environment; they also include the relationships and interactions that help a species to survive. Take the polar bear, for example. Its niche isn’t just sea ice and freezing temperatures, but also the presence of seals and other prey that it relies on. To make it easier to picture how species can differ, researchers have developed a few key terms that help describe the characteristics of ecological niches:
- Niche breadth – The range of environmental conditions a species can tolerate. Generalists usually have a larger niche breadth than specialists, meaning they can survive in a wider variety of environments.
- Niche position – The “centre” of a species’ niche, or its optimal environmental conditions. Species will thrive when existing near to the niche position.
- Niche overlap – How much two species share the same ecological niche. For example, a camel’s niche overlaps more with a cactus’ than with a penguin’s, since camels and cactuses share more similar environmental conditions.

The Phylogenetic Niche Conservation (PNC) hypothesis is just a fancy way of saying that species tend to stick to the ecological niches of their ancestors. In other words, closely related species often occupy very similar niches. However, in cases where coevolution has occurred (when two interacting species evolve together) it’s not always clear whether niche similarity is due to shared ancestry (PNC) or the result of these interactions. This study, published in the Biological Journal of the Linnean Society, aims to explore whether the ecological niches of acacia ants and swollen-thorn acacia are similar to closely related species due to mutualistic interactions as well as phylogenetic history.
The Acacia Fruit Doesn’t Fall Far from the Phylogenetic Tree
To investigate to what degree ants and acacias evolved through coevolution, Sánchez-Rodríguez et al. created phylogenetic trees for both species’ groups. They then mapped where each species lives and identified the environmental conditions that define their niches, giving a clearer picture of how much overlap there is between related species. To compare PNC in these groups, they used two main approaches:
- Whole-tree approach: Niche breadth and niche position was modelled across the entire phylogeny. This helped to picture how niches evolved for each species throughout the entire lineage.
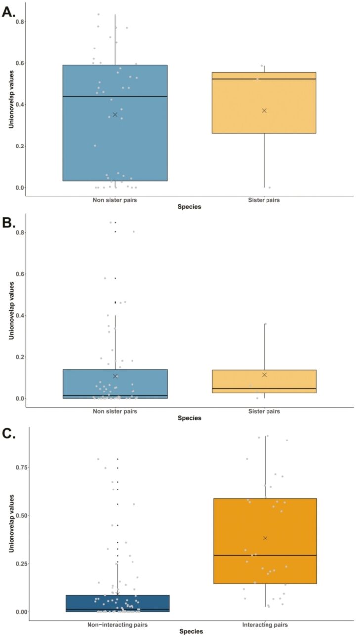
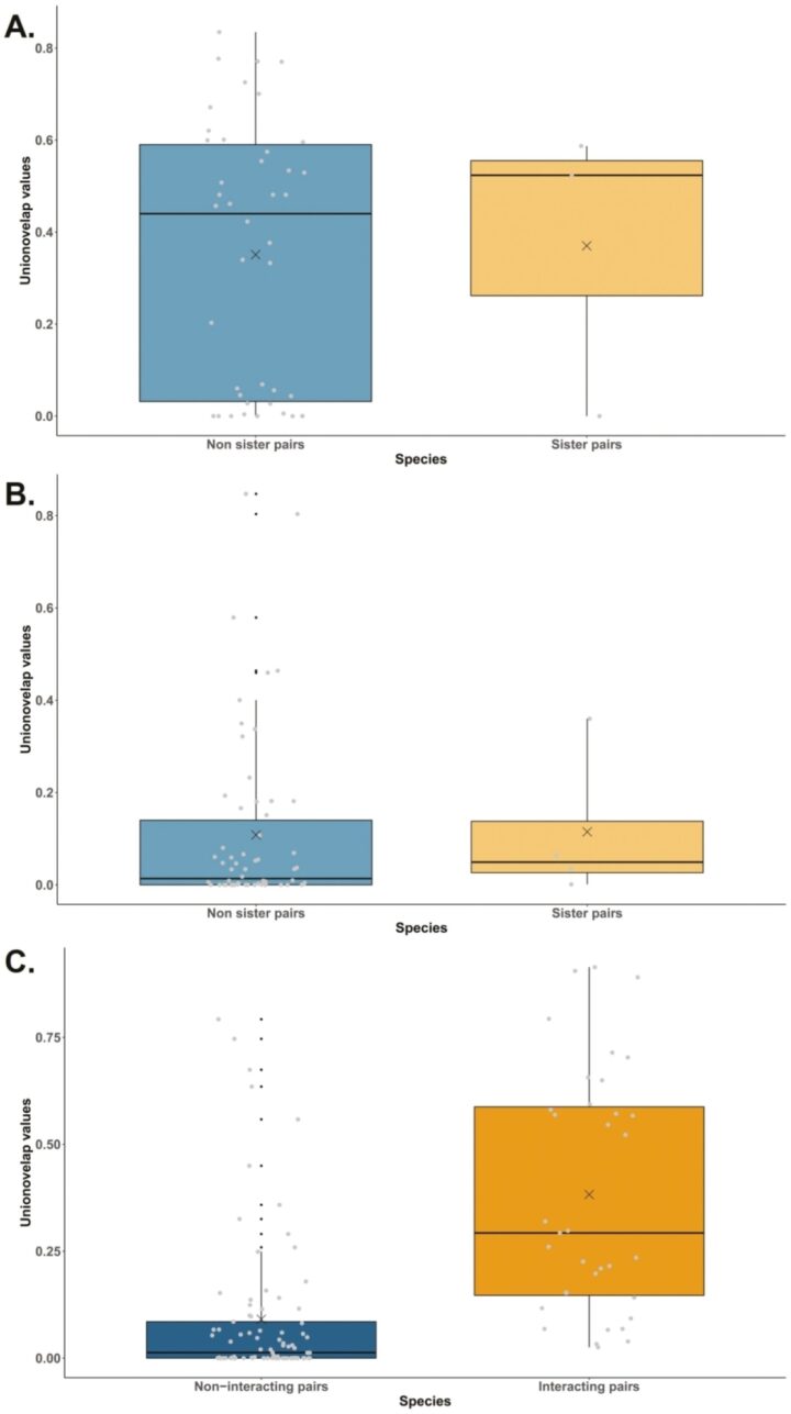
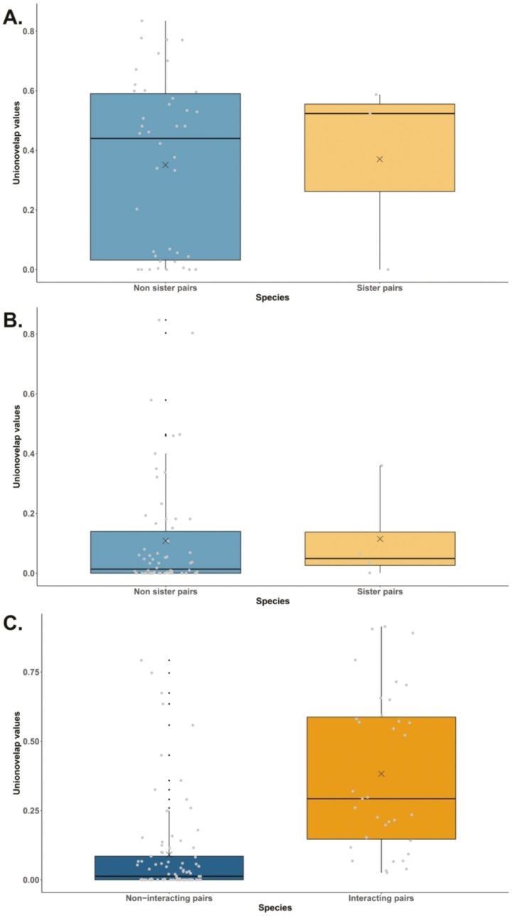
- Species pairwise comparison approach: Niche overlap was calculated between pairs of species, focusing on sister species versus random nonsister species. This allowed them to test whether closely related species have more similar niches than expected by chance. They also looked at niche overlap between mutualist pairs of ants and acacias compared to randomly paired species from both groups.

Ant-alysing the Outcomes
To see how niche evolution plays out in acacias and their ant partners, Sánchez-Rodríguez et al. tested different evolutionary models against the phylogenetic trees and niche position and breadth. The model that fit best was Brownian Motion, where niche traits change gradually over time through random shifts. As such, niche positions and breadth have changed slowly due to multiple small changes, rather than an evolutionary pull towards their ancestral niche. In other words, these species aren’t as restricted to their ancestors’ ecological niches as we might expect.
For niche overlap, things got interesting. Closely related species didn’t overlap any more than randomly paired species, proving that PNC could not solely explain niche differences between species. However, when they compared mutualistic ant-acacia pairs to random ant-acacia pairings, the overlap was much greater, meaning co-evolution between these interacting species has driven shared niches.

Ant-cestry or Alliance?
PNC has been observed in other species, such as phyllostomid bats (New World leaf-nosed bats), which share very similar ecological niches including roosting sites and diets (Tóth et al., 2025). So why does this pattern look different in the case of acacias and ants? One possible explanation lies in the rapid adaptations required to survive in new environments. Acacias thrive in dry habitats, and when ants moved out of the forest to avoid competition, they had to adapt quickly to cope with these harsher conditions. Forming a mutualistic relationship with acacias provided a solution. On the other side of the coin, swollen thorn acacias do not have chemical defences to ward off herbivores. Therefore, acacia ants have provided defences that have allowed this plant to exist in areas with higher levels of herbivory. In this case, the environmental pressures of competition may have demanded faster evolutionary change than PNC could allow.
PNC is often assumed when discussing ecological niche evolution. However, this research shows that the hypothesis should not be taken for granted across all species. While some species do follow the PNC pattern, each ecological scenario needs to be considered individually. In this case, mutualistic interactions between ants and acacias meant that the PNC hypothesis did not hold. Other unique ecological situations could similarly break the pattern in many other species. After all, in nature, not everyone plays by the rules.

About the Journal
This blog was inspired by a paper published in our Biological Journal, the direct descendant of the oldest biological journal in the world. It publishes ground-breaking research specialising in evolution in the broadest sense, and especially encourages submissions on the impact of contemporary climate change on biodiversity. Want to contribute to a blog? Contact the Journal Officer directly.

Guest Blogger
Written by Josie Cooper, a Conservation and Biodiversity graduate from Queen Mary University of London. With an interest in wildlife conservation, she is set to head off to Sri Lanka to volunteer for a research-based leopard conservation charity. Edited by Georgia Cowie, Journal Officer at the Linnean Society.
